2018 Motorlu Taşıtlar Vergisi ülkemizde uygulanmaya başlanacak ve bu doğrultuda geçtiğimiz günlerde 2018 MTV’nin 2017 MTV değerlerine göre ne oranda yükseldiğini analiz etmiştik. Şimdi ise bize göre daha da önemli bir analiz gerçekleştireceğiz.
Bu doğrultuda sıfır km araçların da içinde olduğu 1-3 yaş grubu MTV oranlarının aracın anahtar teslimi fiyatı üstündeki yüküne göz atacağız ve sıfır km aracın üstündeki toplam vergi ve masraf yükü ile karşılaştıracağız. Bu arada karşılaştırmamızı yaparken her bir vergi diliminde yer alan araçlardan en ucuz ve en pahalı olanlarını dahil edeceğiz. Bu durumda 20 farklı araç için analiz yapmış olacağız. Her bir vergi dilimi için 2018 Motorlu Taşıtlar Vergisi – MTV’nin otomobilin anahtar teslim bedeline oranını görebileceğiz.
Notlar:
- Taşıt değerleri vergisiz-ham fiyat üzerinden baz alınmaktadır.
- ATF: Anahtar Teslim fiyatı (Bayi liste fiyatı)
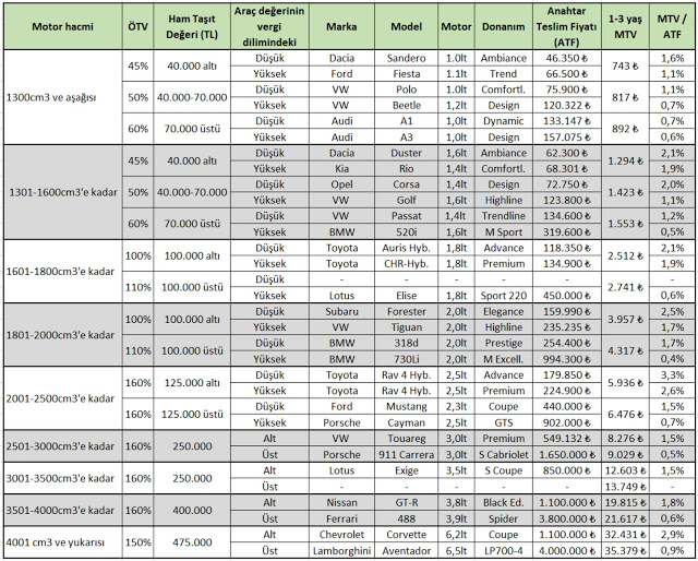
2018 Motorlu Taşıtlar Vergisi – MTV’nin otomobil değerine oranı tablosu
![]() |
| 2018 Motorlu Taşıtlar Vergisi – MTV’nin otomobil değerine oranı |
Yukarıdaki listemizden de anlaşılacağı gibi, araca ödenen MTV’nin anahtar teslim fiyatına olan etkisi oldukça değişken. Örneğin; En ucuz araç otomobil Dacia Sandero’nun MTV yükü aracın anahtar teslim fiyatı’na (ATF) oranı %1.6 olarak görülüyor. Yani bu aracı sıfır km alan bir kişi devlete ATF’nin %1,6’sı kadar MTV ödüyor. 3 yıl boyunca aracın değer kaybı da düşünülürse bu oran daha da yükselebilir.
Diğer taraftan;
1.6lt motorlu üst donanımlı bir BMW 520i satın alan kişi, Dacia Sandero’ya göre TL karşılığı 2 kat MTV ödüyor ancak sahip olduğu aracın fiyatı da Dacia Sandero’nun tam 7 katı. Bu nedenle de MTV/ATF oranı %0,5 olarak çıkıyor. Yani aracın bedeline göre düşünecek olursak BMW 520i sahibi Dacia’ya göre 3 kat daha az MTV ödüyor. BMW ve Dacia alan kişilerin kendi kazançları doğrultusunda bu seçimleri yaptığı varsayılırsa, Dacia sahibi kendi alım gücüne göre 3 kat daha fazla vergi ödüyor da diyebiliriz.
Bir diğer çarpıcı örnek de yine tablonun en ucuz otomobili Dacia Sandero ve listenin en pahalı otomobillerinden bir tanesi olan Ferrari 488 Spider ile ilgili. Ferrari’nin 4 milyon TL’ye yakın fiyatına karşılık ödediği MTV yıllık 21,617TL ancak bu değer aracın anahtar teslim fiyatının sadece %0,6’sına denk geliyor. Yine Dacia ve Ferrari sahiplerini kendi kazançları doğrultusunda tercih yaptığını varsayarsak, Dacia sahibi Ferrari sahibine göre neredeyse 3 kat daha fazla MTV ödüyor diyebiliriz. Yani MTV, Dacia sahibinin alım gücü düşünüldüğünde Ferrari sahibine göre 3 kat daha fazla yük oluyor. Bu arada şöyle bir durum da söz konusu. Dacia sahibi bir kişi 743TL MTV öderken oldukça zorlanabiliyorken, Ferrari için 21,617TL veya en üst dilimde yer alan Lamborghini için ödenen 35,379TL sahiplerine sinek vızıltısı gibi geliyor olabilir.
Oranlar kafanızı karıştırdıysa şöyle bir örnek verelim. Ferrari 488 Spider sahibi bir kişi aracına 1 yılda 21,617TL MTV ödüyor. Aracın 3.8milyon TL fiyatı karşılığı 82 tane Dacia Sandero alabilirdi ve ödediği MTV’de 82 x 743TL= 60,926TL olurdu.
Sonuç olarak;
Bize göre olması gereken bu oranların araç değerine göre belirlenmesi gibi görünüyor. Bu düzen alım gücü üstünde oldukça haksız bir yapıya sahip ve düşük gelirli vatandaşı eziyor. Halbuki her aracın kendi değerine göre düşükten yükseğe MTV oranları belirlense, gelir düzeyi düşük kişiler çok daha az etkilenebilirdi. Bu doğrultuda araç değeri üzerinden %0,5 ile başlayan MTV oranı, üst dilimlerde %3 civarına çıkabilirdi. Bu sayede de oldukça adaletli bir MTV sistemine sahip olabilirdik diye düşünüyoruz. İşe o zaman fakirden düşük, zenginden yüksek vergi alındığı durumu ete kemiğe bürünebilirdi.














































